• Предмет: Математика
  • Автор: madspace200
  • Вопрос задан 8 лет назад

Разложить рациональную дробь на простейшие (сам интеграл решать не нужно)

Приложения:

bearcab: После разложения взять интеграл будет несложно
madspace200: Интеграл вычислять не нужно, а так я даже разложить не знаю как

Ответы

Ответ дал: dmasya
1

Ответ:

Пошаговое объяснение:

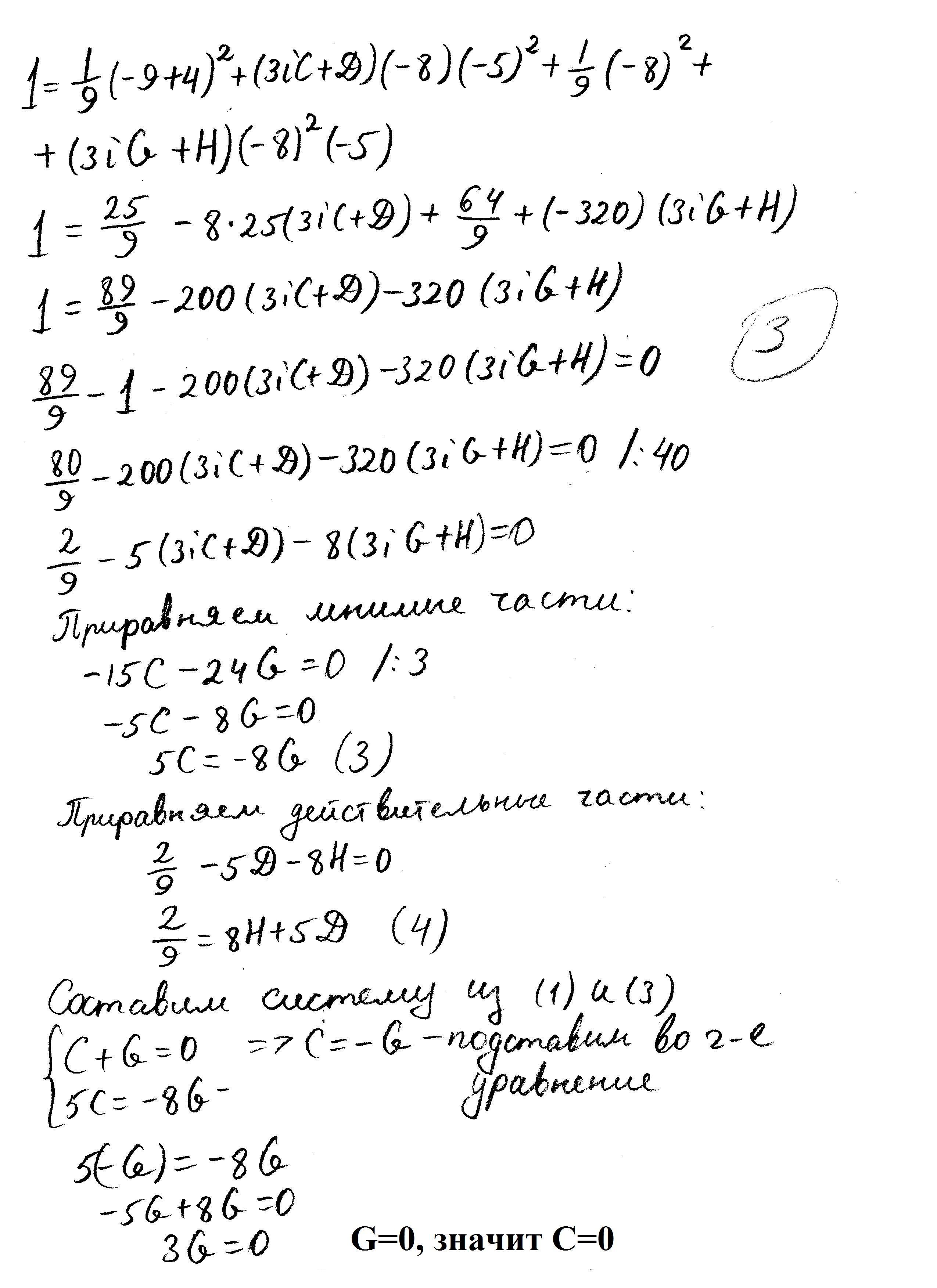
\frac{1}{(x^2+1)^2(x^2+4)^2}=\frac{Ax+B}{(x^2+1)^2} +\frac{Cx+D}{x^2+1} +\frac{Ex+F}{(x^2+4)^2}+ \frac{Gx+H}{x^2+4}

Ответ дал: bearcab
0

Ответ:

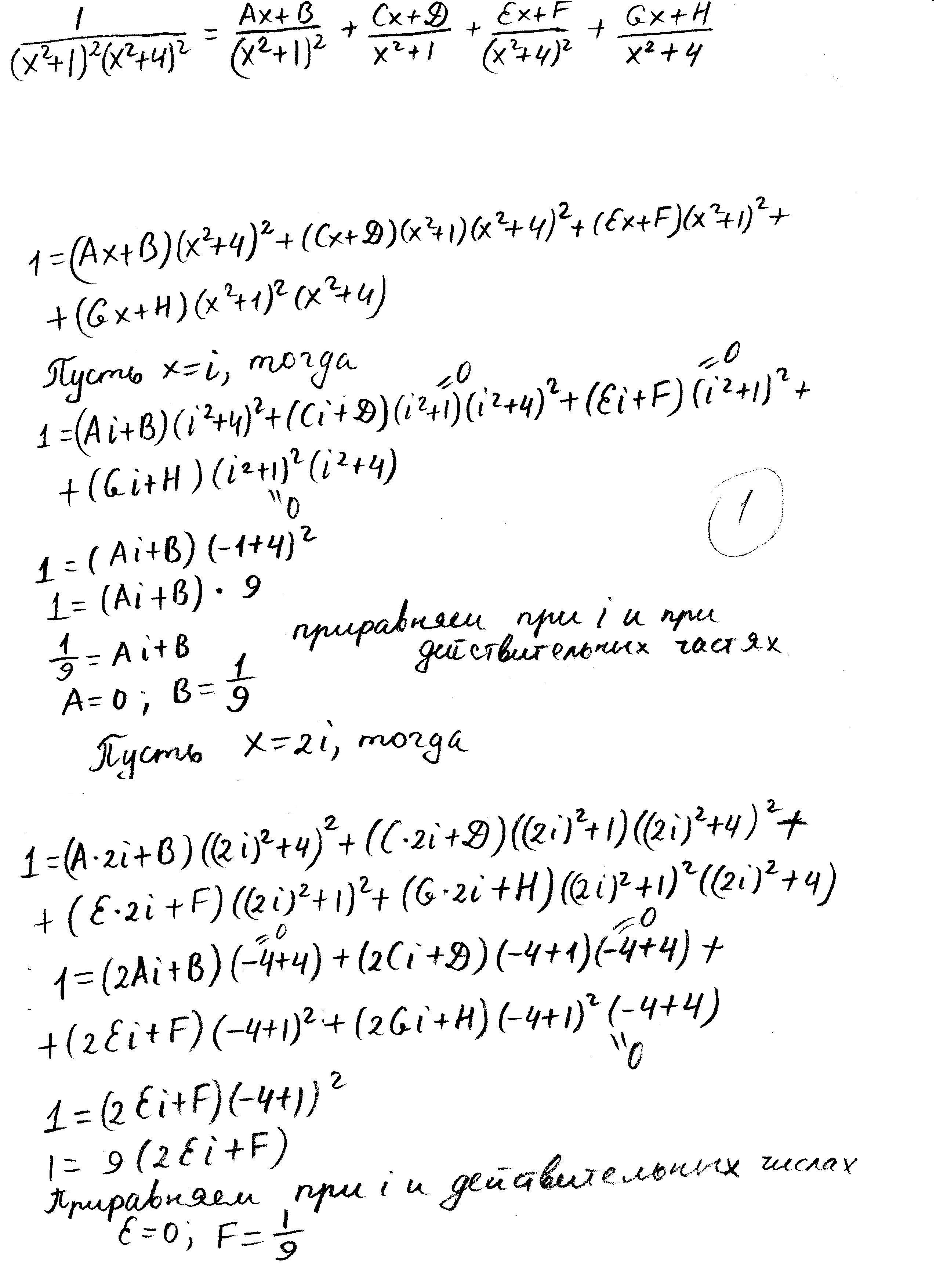
\frac{1}{(x^2+1)^2(x^2+4)^2}=\frac{1}{9(x^2+1)^2}+\frac{1}{9(x^2+4)^2}-\frac{2}{27(x^2+1)}+\frac{2}{27(x^2+4)}

Пошаговое объяснение:

Решение в приложении

Приложения:
Вас заинтересует