• Предмет: Алгебра
  • Автор: ANEKDOTT
  • Вопрос задан 10 лет назад

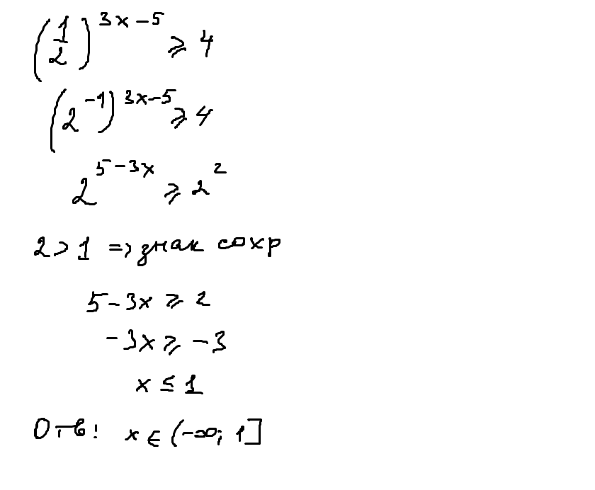
(1/2)в степени 3х-5  больше или равно 4

Ответы

Ответ дал: esmilya
0
Решениееееееееееееееееееееееее
Приложения:
Вас заинтересует