• Предмет: Математика
  • Автор: rakitin200000
  • Вопрос задан 8 лет назад

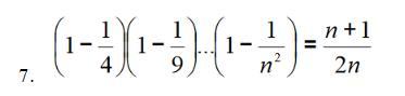
Доказать, что при любом n принадлежащем множеству Натуральных чисел равенство верно.

Приложения:

Ответы

Ответ дал: yugolovin
1

Думаю, автор задания хотел сказать при любом n>1. Будем исходить из этого предположения. При n=2 имеем

1-\frac{1}{4}=\frac{2+1}{2\cdot 2} - верно. Предположим, что утверждение справедливо при некотором n=k>1, то есть

(1-\frac{1}{4})(1-\frac{1}{9})\ldots (1-\frac{1}{k^2})=\frac{k+1}{2k}, и докажем, что тогда оно справедливо при следующем n, то есть что при n=k+1  выполнено

(1-\frac{1}{4})(1-\frac{1}{9})\ldots (1-\frac{1}{k^2})(1-\frac{1}{(k+1)^2})=\frac{k+2}{2(k+1)}.

В самом деле,

\frac{k+1}{2k}\cdot (1-\frac{1}{(k+1)^2})=\frac{(k+1)((k+1)^2-1)}{2k(k+1)^2}=\frac{(k+2)k}{2k(k+1)}=\frac{k+2}{2(k+1)}, что и требовалось.

Утверждение доказано с помощью математической индукции.

Вас заинтересует