• Предмет: Алгебра
  • Автор: Vitalina2000
  • Вопрос задан 10 лет назад

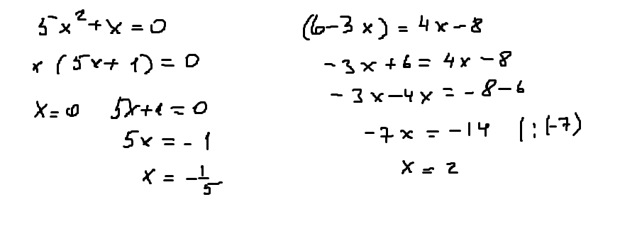
найдите множество  корней:   а)5x^2+x=0 б) (6-3x)=4x-8 в) 2x^2-10x^2+3x-15=0 помогите пожалуйста)

Ответы

Ответ дал: esmilya
0
решениееееееееееееееееее
Приложения:
Вас заинтересует