• Предмет: Математика
  • Автор: femefa
  • Вопрос задан 8 лет назад

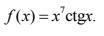
Знайдіть похідну функції

Приложения:

Ответы

Ответ дал: NNNLLL54
1

Ответ:

f(x)=x^7\cdot ctgx\\\\y'=7x^6\cdot ctgx-x^7\cdot \dfrac{1}{sin^2x}

Вас заинтересует