Ответы
Ответ дал:
1
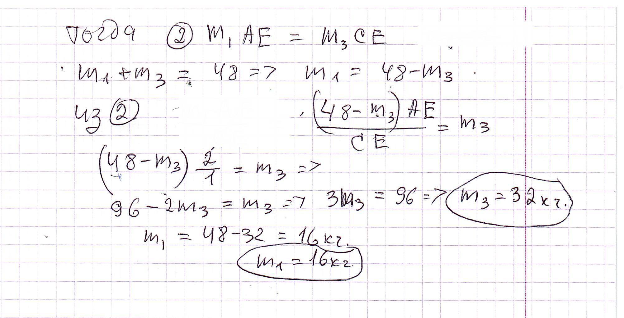
Ответ: в точке А - 16 кг, в точке С - 32 кг
Объяснение:
во вложениях (2 штуки)
Приложения:


Вас заинтересует
2 года назад
2 года назад
9 лет назад