• Предмет: Алгебра
  • Автор: lizacehlova714
  • Вопрос задан 8 лет назад

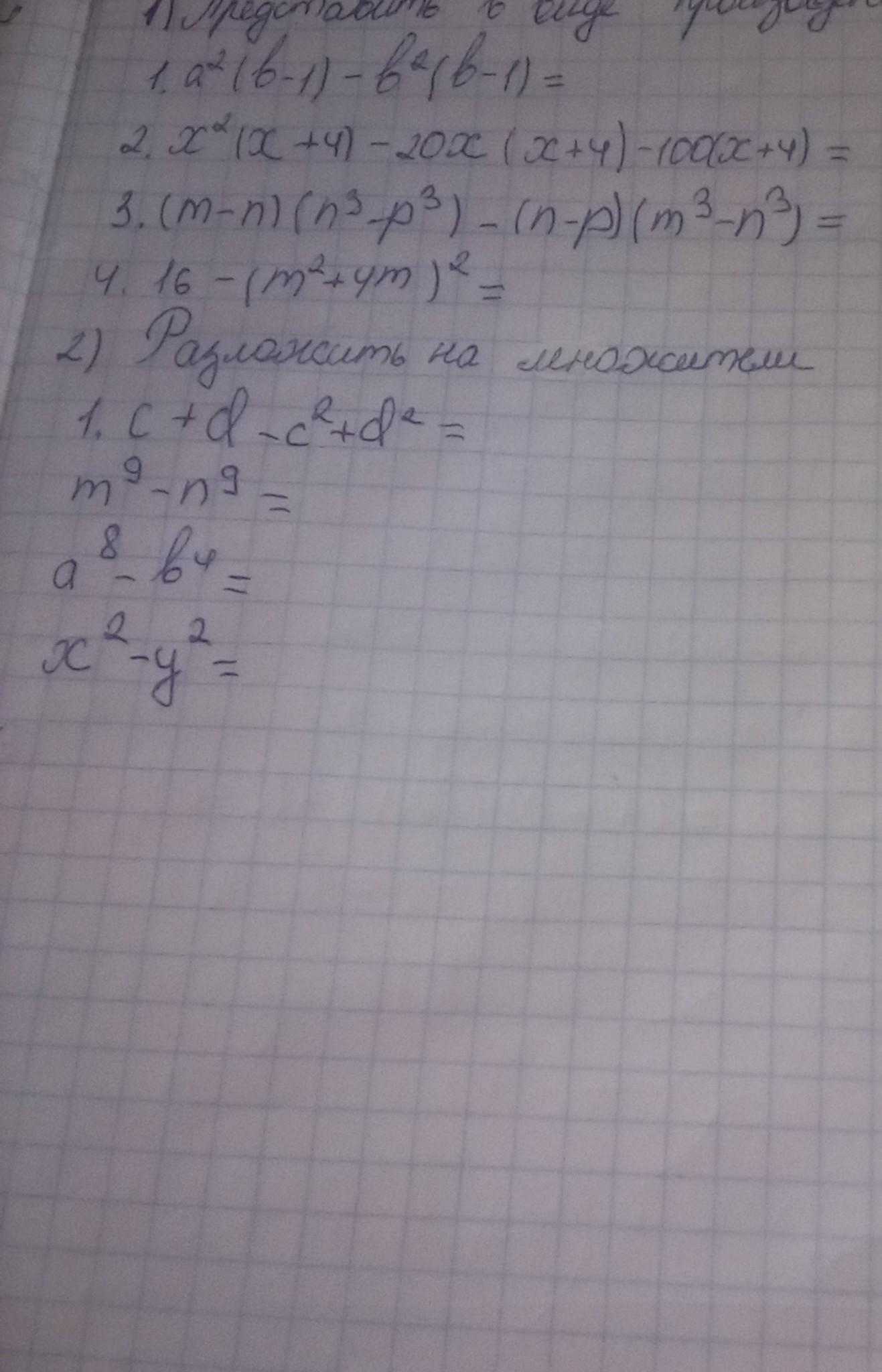
Помогите решить эти примеры пожалуйста​

Приложения:

Ответы

Ответ дал: sdnss
1

1)\\\\a^2(b-1)-b^2(b-1)=(b-1)(a^2-b^2)=(b-1)(a+b)(a-b)\\\\x^2(x+4)-20x(x+4)-100(x+4)=(x+4)(x^2-20x-100)\\\\(m-n)(n^3-p^3)-(n-p)(m^3-n^3)=(m-n)(n-p)(n^2+np+p^2)-(n-p)(m-n)(m^2+mn+n^2)=(m-n)(n-p)(n^2+np+p^2+m^2+mn+n^2)\\\\16-(m^2+4m)^2=4^2-(m^2+4m)^2=(m^2+4m+4)(-m^2-4m+4)\\\\2)\\c+d-c^2+d^2=c+d+d^2-c^2=c+d+(c+d)(d-c)=(c+d)(d-c+c+d)=2d(c+d)\\\\m^9-n^9=(m^3)^3-(n^3)^3=(m^3-n^3)(m^6+m^3n^3+n^6)\\\\a^8-b^4=(a^4)^2-(b^2)^2=(a^4-b^2)(a^4+b^2)\\\\x^2-y^2=(x+y)(x-y)

Вас заинтересует