• Предмет: Математика
  • Автор: dmakaerevic
  • Вопрос задан 8 лет назад

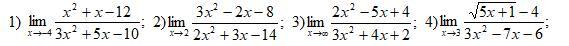
Найдите пределы функций

Приложения:

Ответы

Ответ дал: alexlar30
1

Ответ:

1) 0; 2) 0; 3) 2/3; 4) 5/88

Пошаговое объяснение:

На фото

Приложения:

dmakaerevic: Помогите решить еще пару заданий ,находятся в моем кабинете!
Вас заинтересует