• Предмет: Математика
  • Автор: vizar4806
  • Вопрос задан 8 лет назад

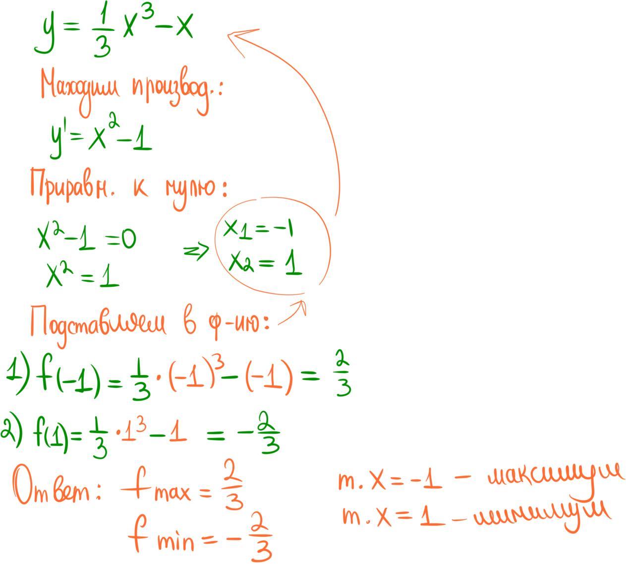
Найти екстремум ф-ции y=⅓x³-x

Ответы

Ответ дал: Luminescence
0

Ответ:Держи

Пошаговое объяснение:

Приложения:
Вас заинтересует