• Предмет: Математика
  • Автор: minkakang04
  • Вопрос задан 8 лет назад

помогите!!!!!!!!!!!!!!!!!
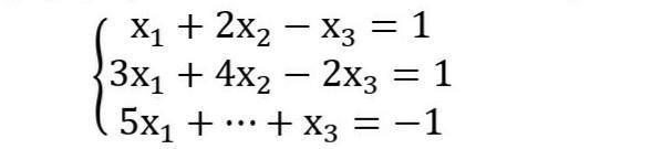
с помощью формулы крамер​

Приложения:

Ответы

Ответ дал: NNNLLL54
1

Ответ:

\left(\begin{array}{cccc}1&2&-1&\ |\ 1\\3&4&-2&\ |\ 1\\5&0&\ 1&|-1\end{array}\right)\ \ \sim \left(\begin{array}{cccc}1&2&-1&|\ \ 1\\0&-2&1&\ |\ -2\\0&-10&6&|-6\end{array}\right)\ \ \sim

\sim  \left(\begin{array}{cccc}1&2&-1&|\ \ 1\\0&-2&1&\ |-2\\0&0&1&|\ \ 4\end{array}\right)\\\\\\x_3=4\\\\-2x_2=-2-x_3=-2-4=-6\ \ ,\ \ x_2=3\\\\x_1=1-2x_2+x_3=1-6+4=-1\\\\Otvet:\ \ (-1;3;4)\ .

2)\ \ \Delta =\left|\begin{array}{ccc}1&2&-1\\3&4&-2\\5&0&1\end{array}\right|=4-2(3+10)-(-20)=-2\ne 0\\\\\\\left|\begin{array}{ccc}1&2&-1\\1&4&-2\\-1&0&1\end{array}\right|=4-2(1-2)-4=2

\left|\begin{array}{ccc}1&1&-1\\3&1&-2\\5&-1&1\end{array}\right|=(1-2)-(3+10)-(-3-5)=-6\\\\\\\left|\begin{array}{ccc}1&2&1\\3&4&1\\5&0&-1\end{array}\right|=-4-2(-3-5)-20=-8

x_1=\dfrac{2}{-2}=-1\ \ ,\ \ x_2=\dfrac{-6}{-2}=3\ \ ,\ \ x_3=\dfrac{-8}{-2}=4


minkakang04: спасибо
minkakang04: а что за ~ ?
minkakang04: и почему поделили по 3?
NNNLLL54: ~ эквивалентность
Вас заинтересует