• Предмет: Алгебра
  • Автор: Учитель11
  • Вопрос задан 10 лет назад

ПОМОГИТЕ ПОЖАЛУЙСТА!!!!
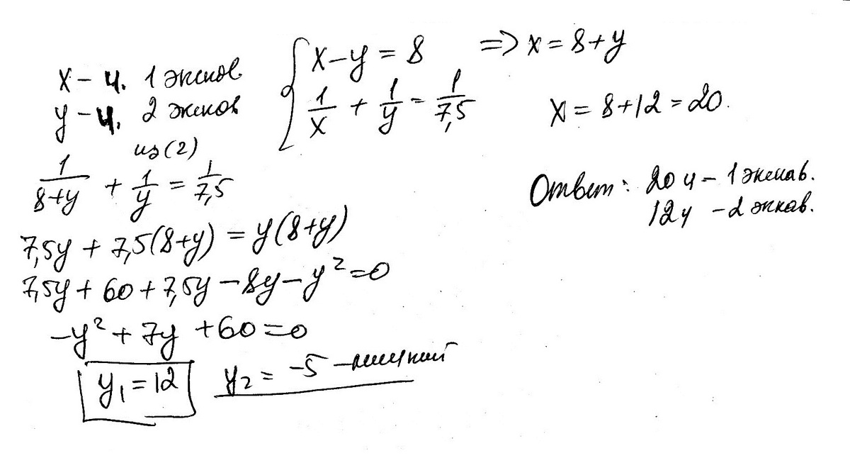
 два экскаватора работая вмести, вырыли котлован за 7 часов 30 мин. За какое время может вырыть котлован каждые экскаватор, работая отдельно, если одному из них нужно на это на 8 часов больше, чем другому?
 ПОПОМГИТЕ ПЛИЗЗЗЗ
P.S. решать через сиситему

Ответы

Ответ дал: Vladislav006
0
Решение представлено ниже в приложении

Приложения:
Ответ дал: Учитель11
0
ааа. теперь понятно
Ответ дал: Vladislav006
0
(^_^)
Вас заинтересует