• Предмет: Алгебра
  • Автор: anastasiyafomina353
  • Вопрос задан 8 лет назад

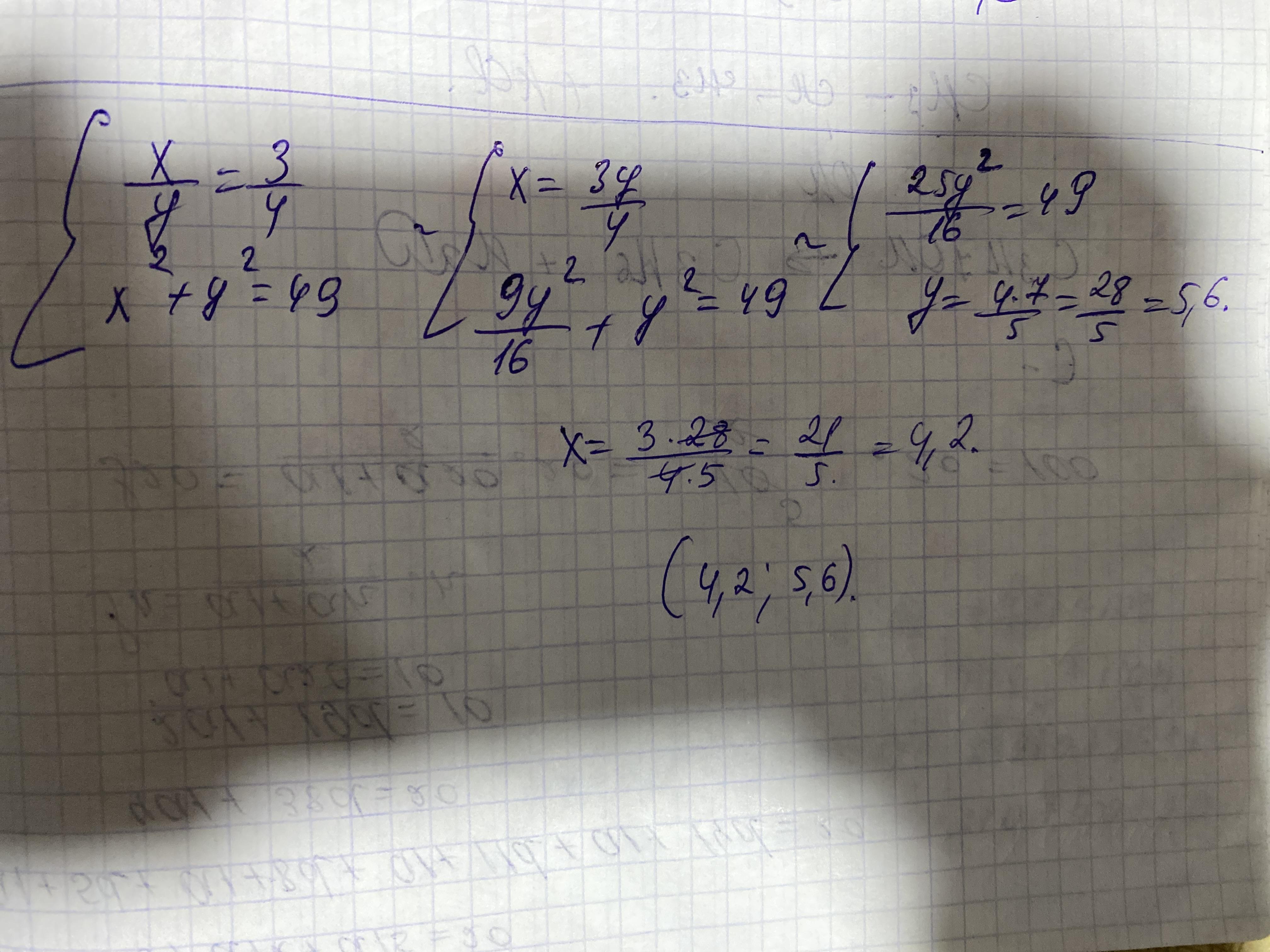
Система

х/у=3/4
х^2+у^2=49​

Ответы

Ответ дал: gmqkp7r6sk
0

Ответ:

Объяснение:

Удачи

Приложения:
Ответ дал: Zombynella
0

Ответ:

В решении.

Объяснение:

Система

х/у = 3/4

х² + у² = 49

Выразить х через у в первом уравнении, подставить выражение во второе уравнение и вычислить у:​

х = 0,75у

(0,75у)² + у² = 49

0,5625у² + у² = 49

1,5625у² = 49

у² = 49/1,5625

у² = 31,36

у = √31,36

у = 5,6;

х = 0,75 * 5,6

х = 4,2.

Решение системы уравнений (4,2; 5,6).

Вас заинтересует