Даю все баллы, что есть. Уравнение со смешанными дробями.
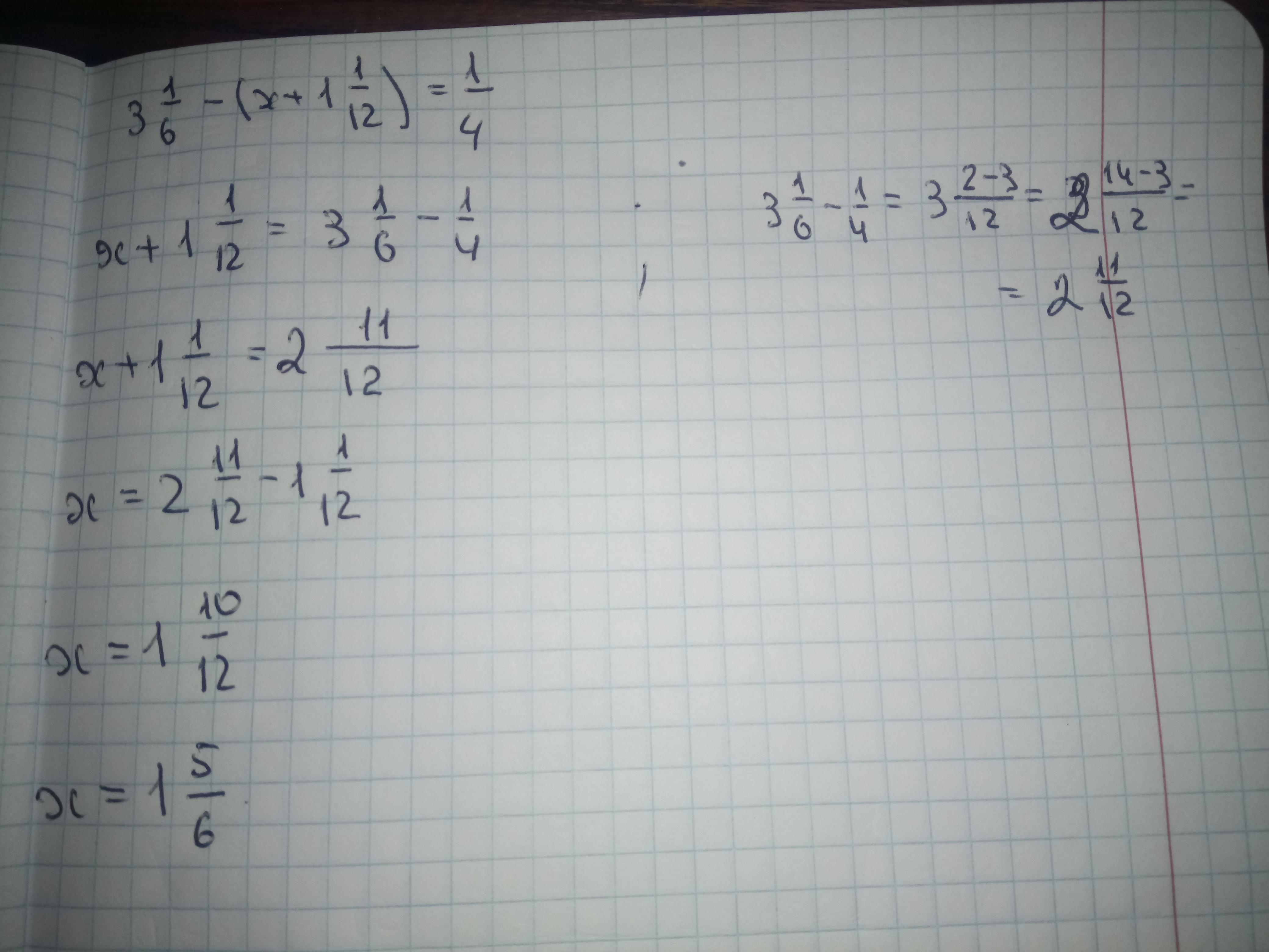
3 1/6 - ( x + 1 1/12 ) = 1/4
                        
                            
                                    
                    abvjdkdkd:
                    С решением?
                
            
                    
                    Нужно найти x.
                
            
                    
                    Извини, я тебя не понял, да, нужно решение.
                
            
                    
                    Но в любом случае, спасибо
                
            
                    
                    Представить смешанную дробь 3 1/6 и 1 1/12 в виде неправильной дроби, Когда перед скобками стоит знак "-", измените знак каждого члена в скобках: 19/6 - х - 13/12 = 1/4, Вычтите дроби: 19/6 - 13/12 = 25/12 = 1/4, Перенести постоянную в правую часть и сменить ее знак: - х = 1/4 - 25/12 = - х = -11/6, Изменить знаки обеих частей уравнения на "+": х = 11/6
                
            
                    
                    Ох, огромное спасибо!
                
            
                    
                    Всегда пожалуйста)
                
            Ответы
                                            Ответ дал: 
                                                                                    
                                        
                                            
                                                
                                                
                                                
                                                    2
                                                
                                            
                                        
                                    Ответ:
                    
                    Спасибо большое!
                
            
                                            Ответ дал: 
                                                                                    
                                        
                                            
                                                
                                                
                                                
                                                    0
                                                
                                            
                                        
                                    1 5/6
Решение задания прилагаю
Приложения:
                    
                            Вас заинтересует
                
                        3 года назад
                    
                
                        3 года назад
                    
                
                        8 лет назад
                    
                
                        8 лет назад