• Предмет: Математика
  • Автор: youngbaby
  • Вопрос задан 8 лет назад

Помогите решить пожалуйста!
СРОЧНО!
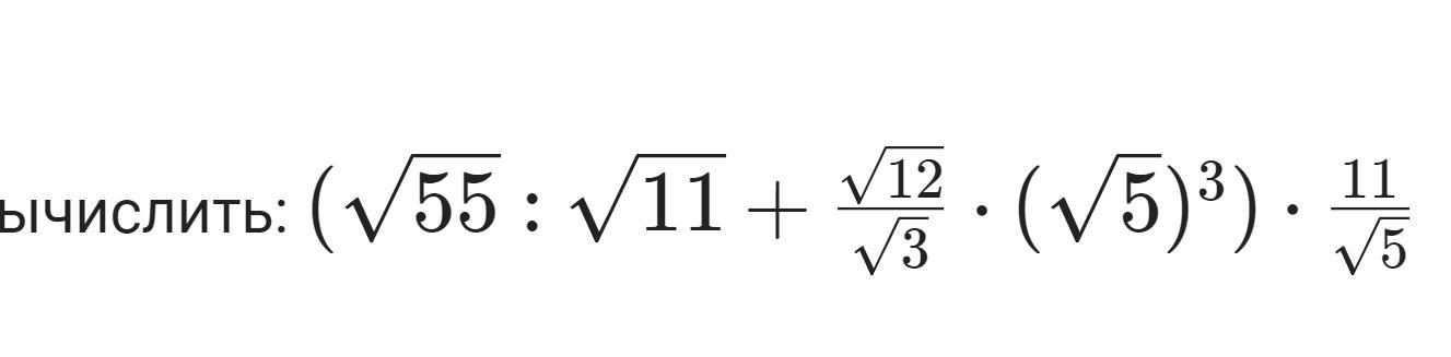
(Задание на фото)

Приложения:

Ответы

Ответ дал: sobokrot
1
Деление и умножение коней можно внести под один, а в конце при раскрытии скобок корни просто сокращаются. Надеюсь помогла
Приложения:
Ответ дал: kamilmatematik100504
3

\displaystyle\bf (\sqrt{55} :\sqrt{11} +\frac{\sqrt{12} }{\sqrt{3} } \cdot (\sqrt{5})^3 )\cdot \frac{11}{\sqrt{5} }=\\(\sqrt{5} \cdot\sqrt{11} :\sqrt{11} +\frac{\sqrt{3}\cdot \sqrt{4} }{\sqrt{3} } \cdot\sqrt{5^3} ) \cdot \frac{11}{\sqrt{5} } =(\sqrt{5} +2\sqrt{5^3} ) \cdot \frac{11}{\sqrt{5}}=\sqrt{5} \cdot\frac{11}{\sqrt{5} } +\frac{11\cdot2\sqrt{5^2} \cdot\sqrt{5}  }{\sqrt{5} } =11+11\cdot5\cdot2=\boxed{121}

Вас заинтересует