• Предмет: Алгебра
  • Автор: ztbloleg
  • Вопрос задан 8 лет назад

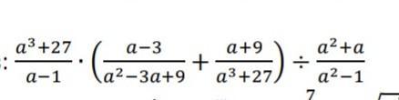
Спростити вираз, пж очень нада​

Приложения:

Ответы

Ответ дал: Miroslava227
1

Ответ:

решение на фотографии.

Приложения:
Вас заинтересует