• Предмет: Математика
  • Автор: vafla0422
  • Вопрос задан 8 лет назад

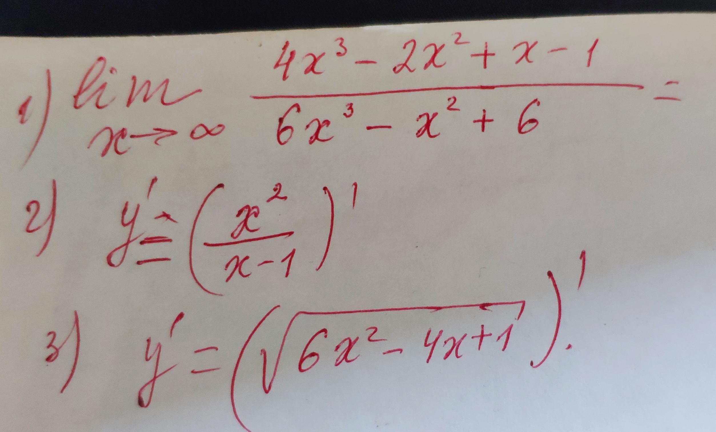
Помогите решить данные примеры ✋

Приложения:

Ответы

Ответ дал: Miroslava227
1

1 задание на фото

2.

y '=  \frac{( {x}^{2})'(x - 1) - (x - 1) '\times  {x}^{2}  }{ {(x - 1)}^{2} }  =  \\  =  \frac{2x(x - 1) - 1 \times  {x}^{2} }{ {(x - 1)}^{2} }  =  \frac{2 {x}^{2} - 2x -  {x}^{2}  }{ {(x - 1)}^{2} }  =  \\  =  \frac{ {x}^{2}  - 2x}{ {(x - 1)}^{2} }

3.

y '= ( \sqrt{6 {x}^{2} - 4x + 1 } )' = ( {(6 {x}^{2}  - 4x + 1)}^{ \frac{1}{2} } )' =  \\  =  \frac{1}{2} {(6 {x}^{2}  - 4x + 1)}^{ -  \frac{1}{2} }   \times (6 {x}^{2}  - 4x + 1)' =  \\  =  \frac{1}{2 \sqrt{6 {x}^{2}  - 4x + 1} }  \times (12x - 4) =  \frac{6x - 2}{ \sqrt{6 {x}^{2}  - 4x + 1} }

Приложения:

vafla0422: Спасибо
vafla0422: ✊ огромное
Вас заинтересует