• Предмет: Геометрия
  • Автор: qwerty000185
  • Вопрос задан 8 лет назад

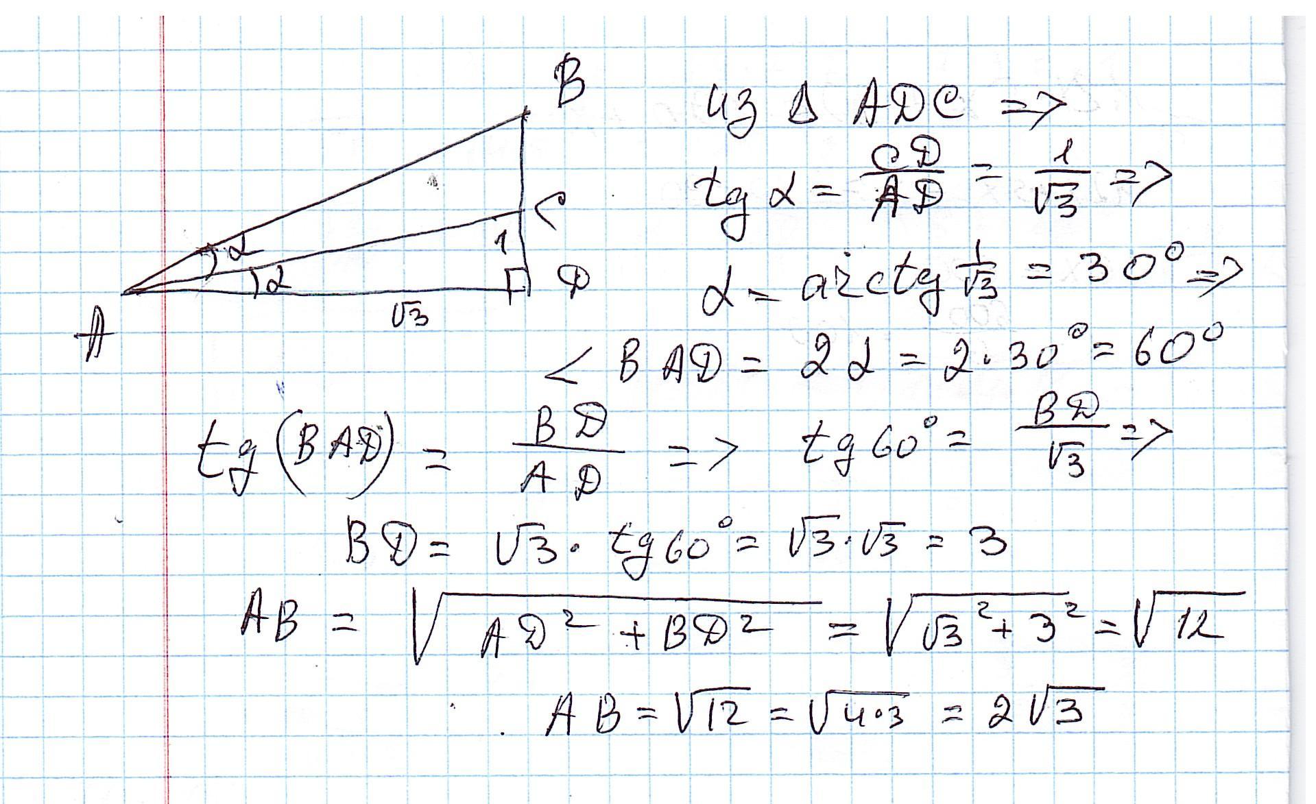
In the figure above AD =|3 and CD =1.What is the length of AB ?

Приложения:

Ответы

Ответ дал: ужнеужели
0

Ответ:

На рисунке выше (то есть в этом рисунке) AD = \sqrt{3} и CD = 1. Какова длина AB?

Объяснение:

in attachment

Приложения:
Вас заинтересует