• Предмет: Математика
  • Автор: agorskova632
  • Вопрос задан 8 лет назад

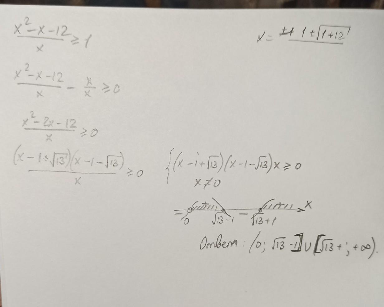
решите неравенство (0,3) x^2-x-12/x больше или равно 1​

Приложения:

Ответы

Ответ дал: filthydemon
1

Ответ:

(0;√13 - 1] U [√13 + 1; + бесконечность)

Приложения:

agorskova632: большое спасибо ❤️
Вас заинтересует