• Предмет: Геометрия
  • Автор: fhghfghfgfhg
  • Вопрос задан 8 лет назад

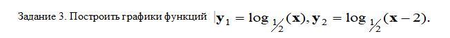
Построить графики функций

Приложения:

BMW52: Есть сервис построения графиков. Называется у(х). rу

Ответы

Ответ дал: Lexzeyfer
1

Ответ:

Графики на фото

Приложения:

BMW52: У вас на 1 графике нет вертикальной асимптоты
Lexzeyfer: Спасибо, увидел. Подожду возможности редактирования и исправлю
Вас заинтересует