Ответы
                                            Ответ дал: 
                                                                                    
                                        
                                            
                                                
                                                
                                                
                                                    0
                                                
                                            
                                        
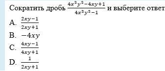
                                    Ответ: А
                                            Ответ дал: 
                                                                                    
                                        
                                            
                                                
                                                
                                                
                                                    0
                                                
                                            
                                        
                                    (4х²у² - 4ху + 1) / (4х²у² - 1)=
((2ху)² - 2*(2ху*1) + 1²) / (2ху - 1)(2ху + 1)=
(2ху - 1)²/ (2ху - 1)(2ху + 1)=(2ху - 1)/(2ху + 1).
Вас заинтересует
                
                        2 года назад
                    
                
                        9 лет назад
                    
                