• Предмет: Математика
  • Автор: Fgg22
  • Вопрос задан 8 лет назад

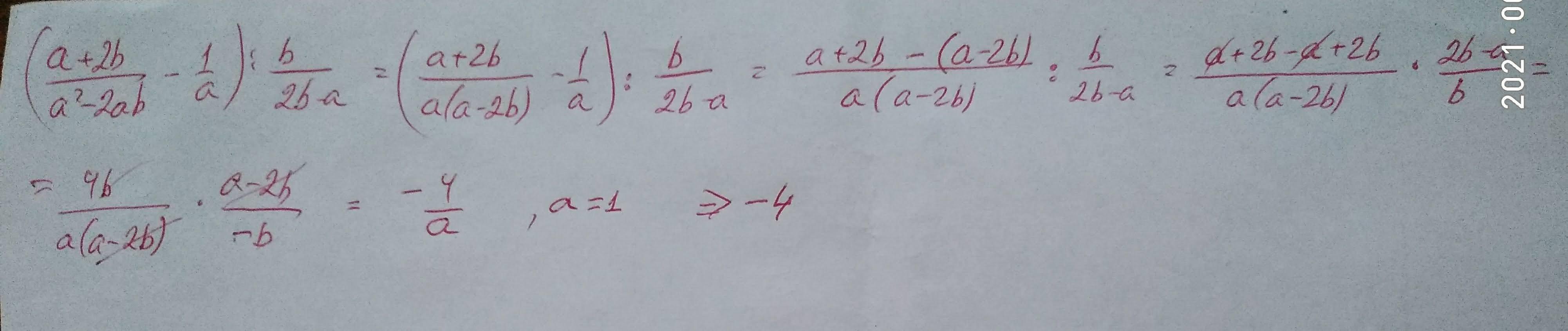
помогите! математика 10-11 класс! дам 40 баллов!

Приложения:

Ответы

Ответ дал: Nephila2009
1

Ответ:

-4

Пошаговое объяснение:

Приложения:
Вас заинтересует