Ответы
Ответ дал:
0
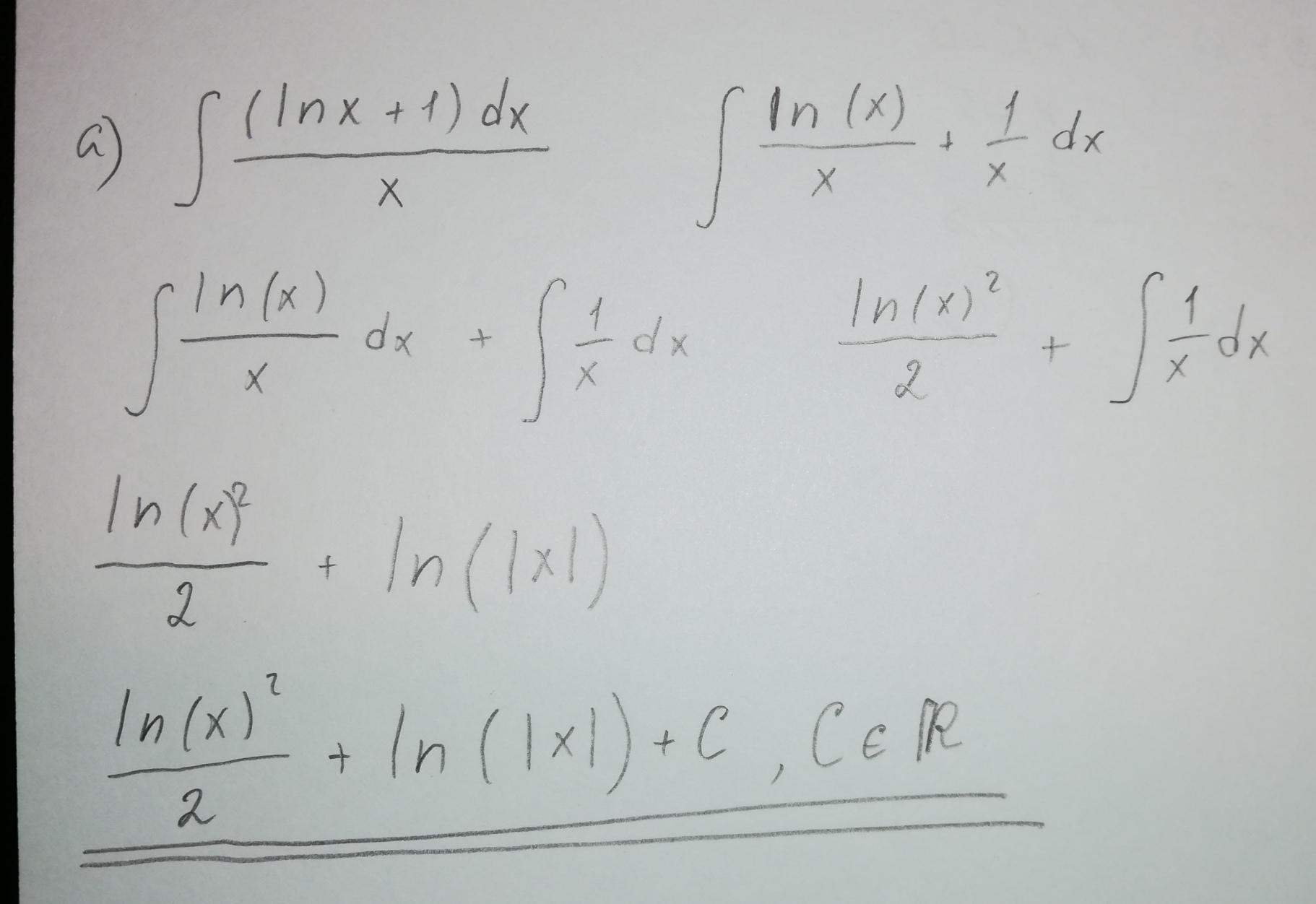
Ответ:
Ответ приведён на фотографии ниже !
Объяснение:
Объяснение и решение находятся ниже !
Приложения:



Аноним:
Писать C∈ℝ некорректно, потому что комплексное число - тоже константа, поэтому правильно писать "C - константа".
Ответ дал:
0
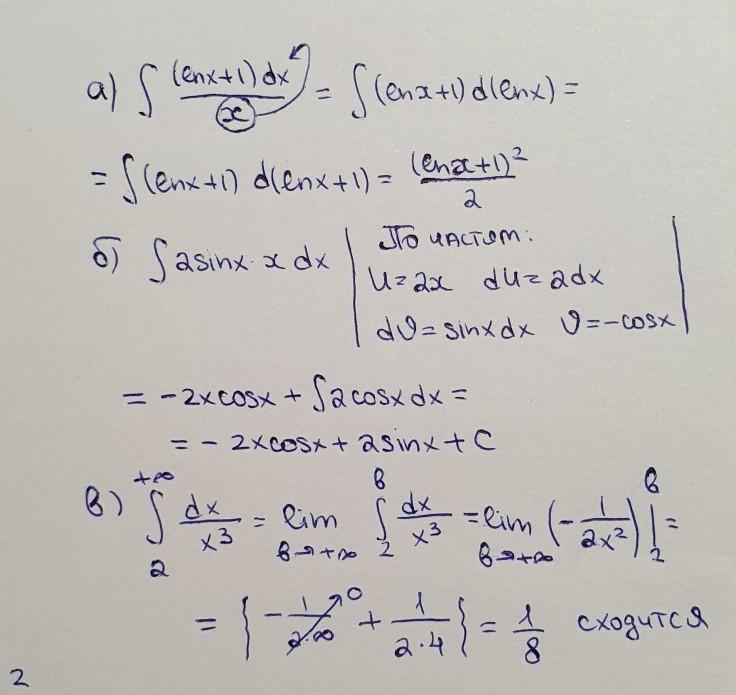
Ответ:
решение на фотографии.
Приложения:

Вас заинтересует
2 года назад
2 года назад
3 года назад
3 года назад
8 лет назад
8 лет назад