• Предмет: Геометрия
  • Автор: chingizniazbaev
  • Вопрос задан 8 лет назад

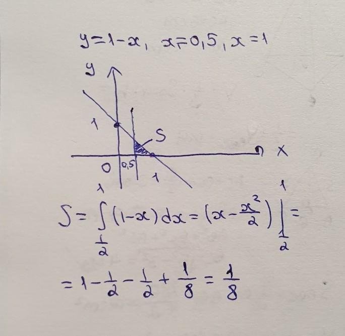
Найдите площадь, ограниченную y = 1-x, x = 0,5 и x = 1.

Ответы

Ответ дал: Miroslava227
0

Ответ:

решение на фотографии.

Приложения:
Вас заинтересует