• Предмет: Математика
  • Автор: Ифигения
  • Вопрос задан 8 лет назад

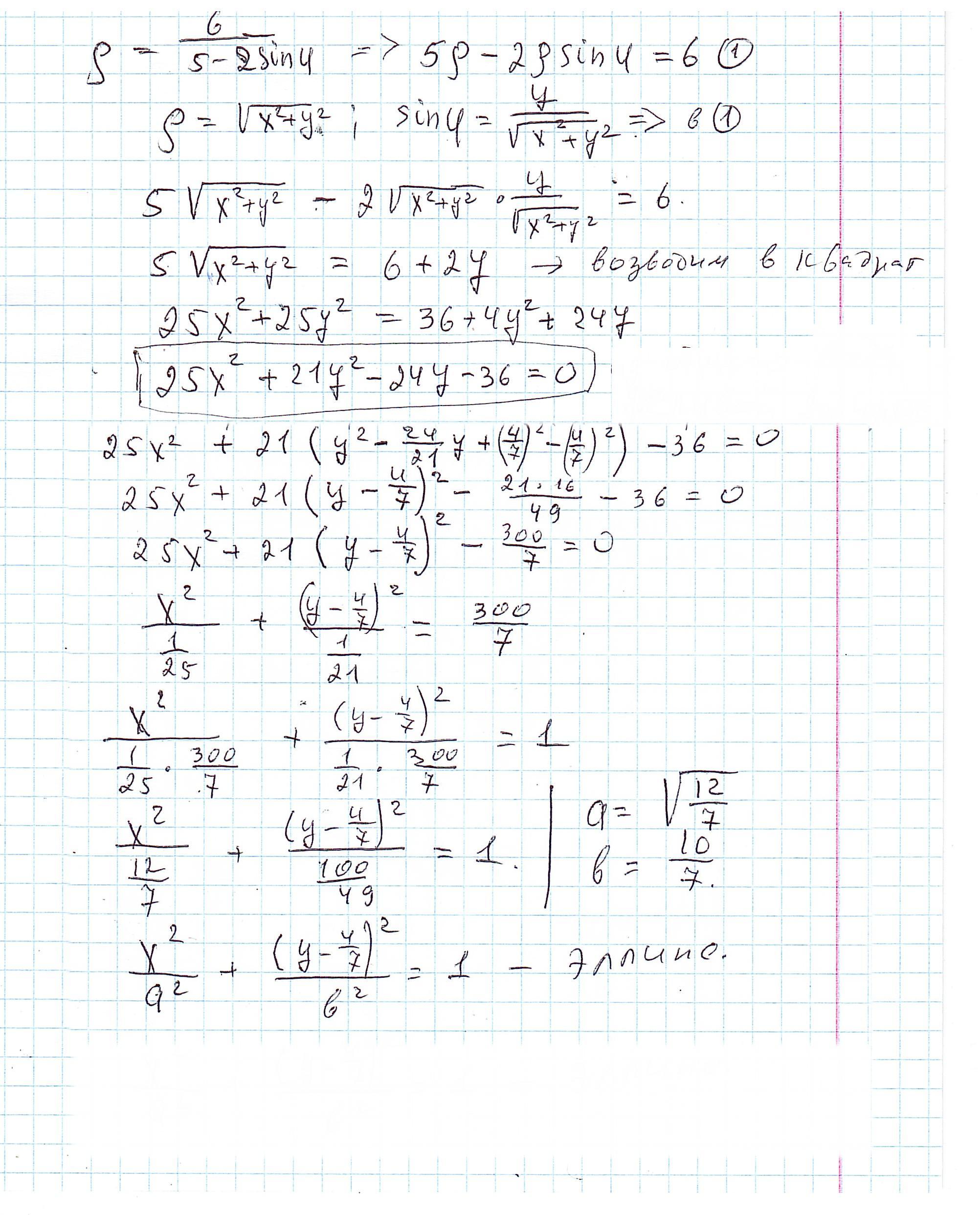
а) перейдя к уравнению той же кривой в декартовой системе координат, показать, что это уравнение кривой второго порядка

б) преобразовав уравнение, выяснить, какая это кривая, и нарисовать ее на координатной плоскости

Приложения:

Ифигения: Там у меня получилась страшная штука
Ифигения: 25х² + 21у² = 36 + 24у
Simba2017: https://znanija.com/task/12503251
Simba2017: смотрели?
Ифигения: Жуть там, немного похоже на мое
Simba2017: такое же вышло как у вас
Simba2017: у вас только сдвиг центра по у будет

Ответы

Ответ дал: ужнеужели
3

Ответ:

Кажется так. Могу в расчетах ошибиться.

Пошаговое объяснение:

До ужаса некрасивая  задачка

Приложения:

ужнеужели: Эх, уберу лишнее.
Ифигения: Большущее спасибо!!!
Ифигения: Разобраться бы ещё, как его получше изобразить)
Ифигения: Вроде бы нарисовала, надеюсь, правильно.
ужнеужели: Возьмите такую систему, http://prntscr.com/15pzstc, а потом с шагом 0,3 давайте значения иксу и вычисляйте у. Это придется сделать только для одной четверти, далее по симметрии. 4/7 = 0,6 примерно, а = 1,3, b= 1,4. Это почти окружность.
ужнеужели: Да, центр эллипса поднят на 0,6
ужнеужели: Эллипс слегка вытянут по оси у
Вас заинтересует