• Предмет: Алгебра
  • Автор: rostukannykroka2007
  • Вопрос задан 8 лет назад

пжпжажажажажажажажажажжажажаж 8 пж​

Приложения:

Ответы

Ответ дал: ДжинXо
4

Ответ:

...........

Объяснение:

всё во вложении..........

Приложения:
Ответ дал: canadagamawppr
0

Ответ:

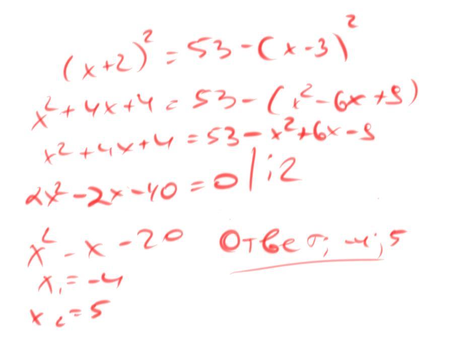
На фото

Объяснение:

На фото

Приложения:
Вас заинтересует