• Предмет: Математика
  • Автор: alexberdniko4072
  • Вопрос задан 8 лет назад

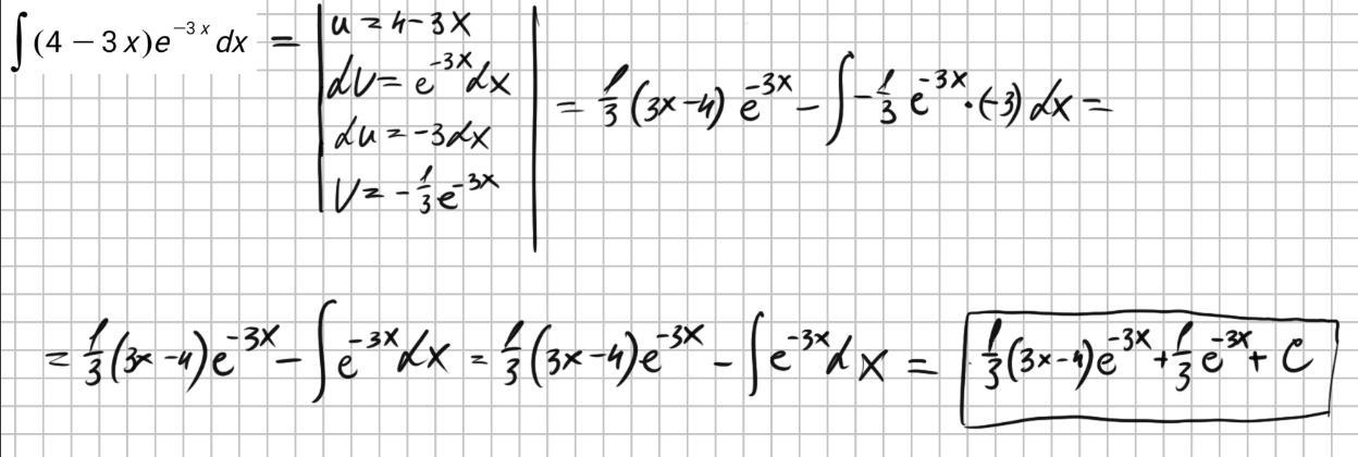
Решить неопределенный интеграл

Приложения:

Ответы

Ответ дал: Ilyazov45
0

---------------------------------------------------

Приложения:
Вас заинтересует