• Предмет: Алгебра
  • Автор: Аноним
  • Вопрос задан 8 лет назад

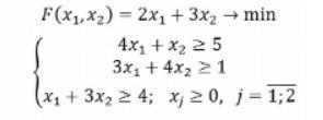
Решение графическим методом задач линейного программирования
помогите срочно((( пожалуйста

Приложения:

Ответы

Ответ дал: olgaua64
1

Відповідь:

минимальное значение F(1, 1)=5

Пояснення:

учитивая, что х1 и х2 ≥0 функция F≥0

2х1+3х2→min принимает на границе области

точки граници области

(0, 5), (1, 1), (4, 0)

значение целевой функции в етих точках

F(0, 5)=15,

F(1, 1)=5,

F(4, 0)=8

                   

Приложения:
Вас заинтересует