• Предмет: Геометрия
  • Автор: krutovskaaanastasia4
  • Вопрос задан 8 лет назад

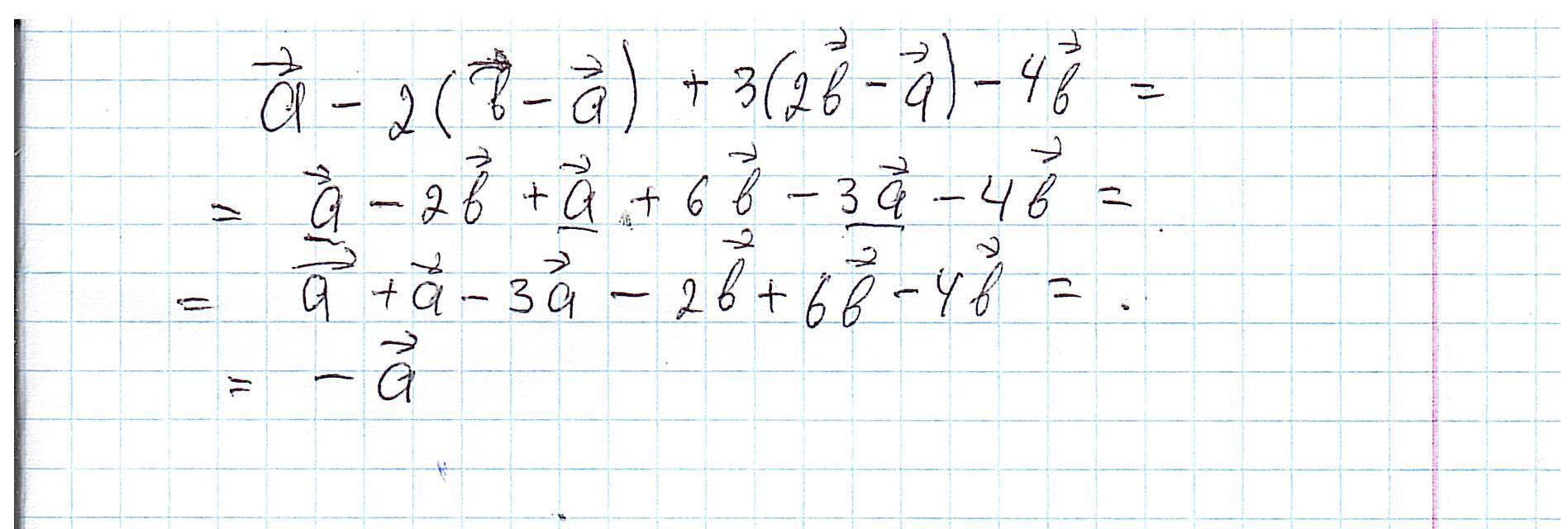
Упростите выражение a→−2(b→−a→)+3(2b→−a→)−4b→

Ответы

Ответ дал: ужнеужели
0

Ответ:

во вложении

Объяснение:

Если векторы коллинеарны (то есть лежат на одной прямой, то с ними надо работать как с числами. Как определить коллинеарность? векторы, обозначенные одной буквой, независимо от коэффициента перед ним коллинеарны. Например а, 2а и -а коллинеарные векторы, а векторы b и а не коллинеарны. Если у коллинеарных векторов знаки одинаковые, то их складываем -

а + 2а = 3а или -2а - 4а = -6а

Если знаки разные, то от большего коэффициента вычитаем меньший, а знак остается как у большего. Например

- 4а + 2а = -2а или

3а - 5а = -2а

Приложения:
Вас заинтересует