Ответы
Ответ дал:
7
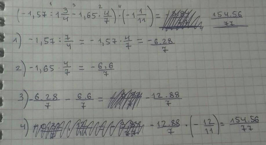
Решение на фотографии
.......
.
.
Приложения:

mfyumm5454y:
Большое спасибо
Ответ дал:
0
Ответ: 2 2/275. См фото.
Объяснение:
Приложения:

Вас заинтересует
2 года назад
2 года назад
3 года назад
8 лет назад
8 лет назад