• Предмет: Геометрия
  • Автор: asodar65
  • Вопрос задан 8 лет назад

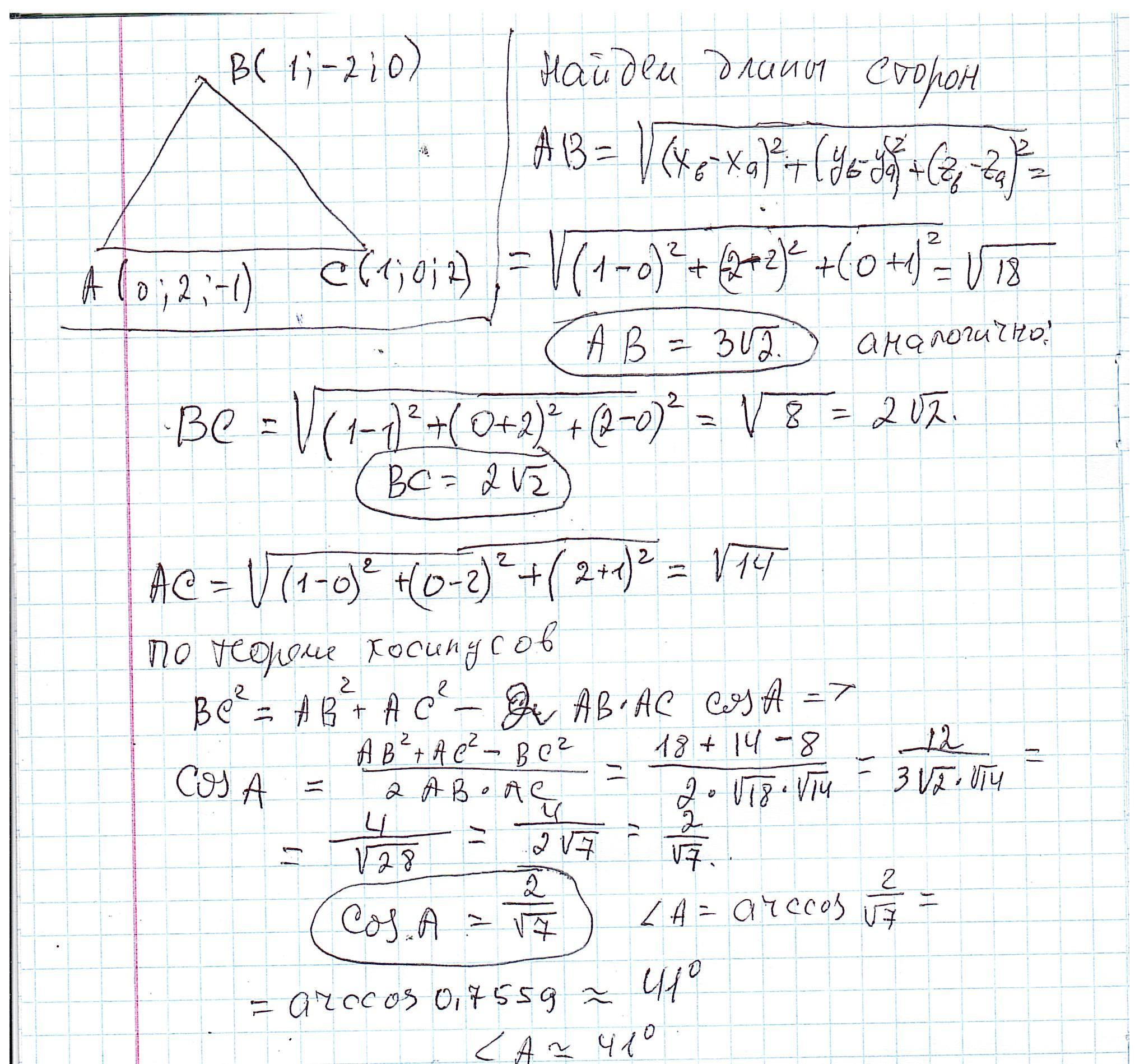
знайти кут а трикутника авс, якщо а(0;2;-1), b(1;-2;0), c(1;0;2)​

Ответы

Ответ дал: ужнеужели
0

Ответ: 41 градусам

Объяснение:

во вложении

Приложения:
Вас заинтересует