• Предмет: Математика
  • Автор: Dron129
  • Вопрос задан 8 лет назад

Помогите решить пожалуйста! Найти площадь фигуры! условие во вложениях!

Приложения:

Ответы

Ответ дал: Miroslava227
1

Ответ:

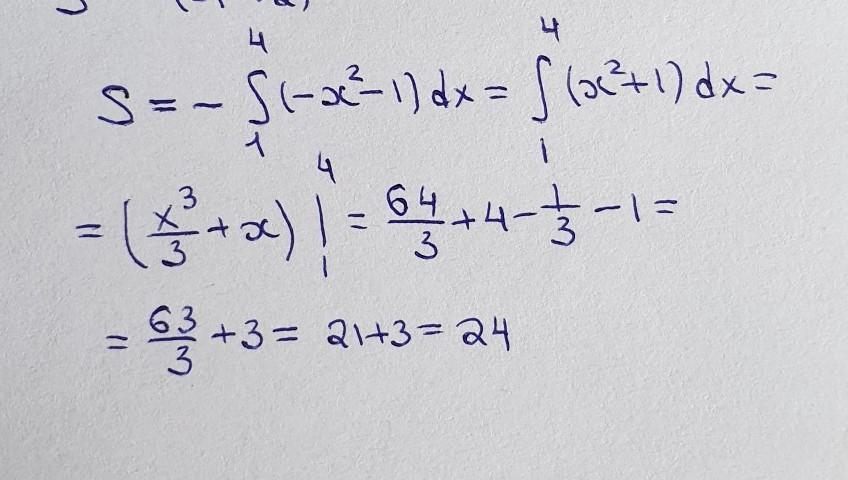
Фигура находится под осью ОХ, поэтому вычисляем площадь со знаком минус.

На фото.

Приложения:
Вас заинтересует