• Предмет: Математика
  • Автор: aisezim7870
  • Вопрос задан 8 лет назад

помогите пожалуйста
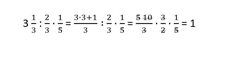
3\times \frac{1}{3} \div  \frac{2}{3}  \times  \frac{1}{5 }  =

Приложения:

Ответы

Ответ дал: Fireworld40
1

Ответ:

Ответ дан на фотографии

Приложения:
Ответ дал: Orangesss
1

Ответ:

1.

Пошаговое объяснение:

На фотографии.

Приложения:
Вас заинтересует