• Предмет: Математика
  • Автор: dianaaaaaaaaaa67
  • Вопрос задан 8 лет назад

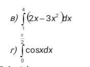
обчислити інтеграли......​

Приложения:

Ответы

Ответ дал: pushpull
0

Ответ:

Пошаговое объяснение:

в)

\displaystyle \int\limits^4_1 {(2x-3x^2)} \, dx =2\int\limits^4_1 {(x)} \, dx -3\int\limits^4_1 {(x^2)} \, dx =x^2\bigg |_1^4-x^3\bigg |_1^4=15-63=-48

г)

\displaystyle \int\limits^{\pi/2}_0 {cosx} \, dx =sinx \bigg |_0^{\pi/2}=sin(\frac{\pi}{2} )-sin(0) = 1

Вас заинтересует