• Предмет: Алгебра
  • Автор: UMNII2
  • Вопрос задан 8 лет назад

Помогите вычислить пределы функции (к первому фото)



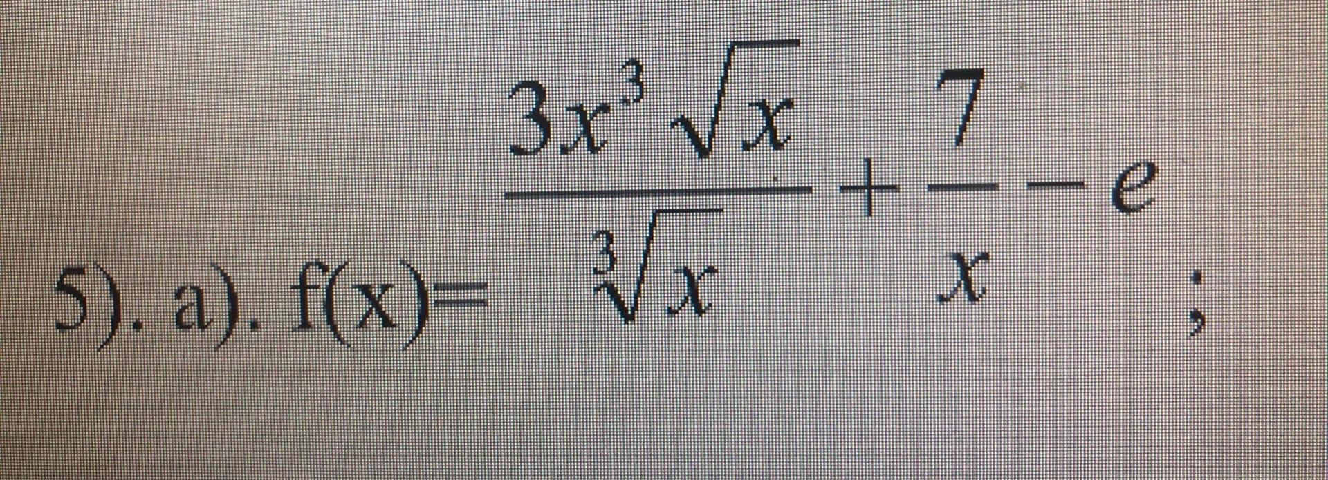
И если получиться то помогите найти производные функции(ко второму фото)

Приложения:

Ответы

Ответ дал: NNNLLL54
2

Ответ:

1)\ \ \lim\limits _{x \to \infty}\dfrac{3}{x^2+3x}=\Big[\dfrac{3}{\infty }\Big]=0\\\\\\2)\ \ f(x)=\dfrac{3x^3\cdot \sqrt{x}}{\sqrt[3]{x}}+\dfrac{7}{x}-e\ \ \Rightarrow \ \ \ f(x)=3x^{\frac{19}{6}}+\dfrac{7}{x}-e}\\\\\\f'(x)=\dfrac{19}{6}\cdot x^{\frac{13}{6}}-\dfrac{7}{x^2}=\dfrac{19}{6}\cdot \sqrt[6]{x^{13}}-\dfrac{7}{x^2}

Вас заинтересует