• Предмет: Математика
  • Автор: marinaarustam
  • Вопрос задан 8 лет назад

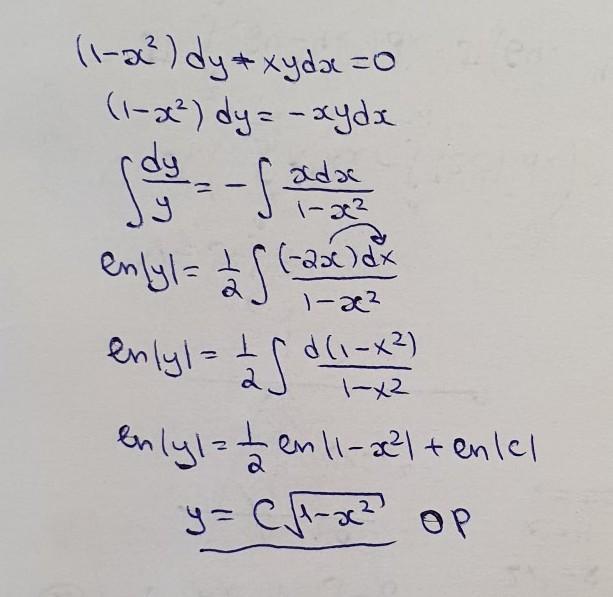
Решить дифференциальное уравнение:

Приложения:

Ответы

Ответ дал: Miroslava227
1

Ответ:

решение на фотографии.

Приложения:

marinaarustam: Большое спасибо! По книге ответ y^2 = C (x^2 - 1); x= ± 1
marinaarustam: Пересмотрите, пожалуйста!
Вас заинтересует