ПОМОГИТЕ ПОЖАЛУЙСТА, ОЧЕНЬ СРОЧНО!!!
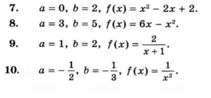
Найти площадь криволинейной трапеции, ограниченной прямыми х=а, х=b, графиком функции y=f(x) и осью Ох
Приложения:

Ответы
Ответ дал:
5
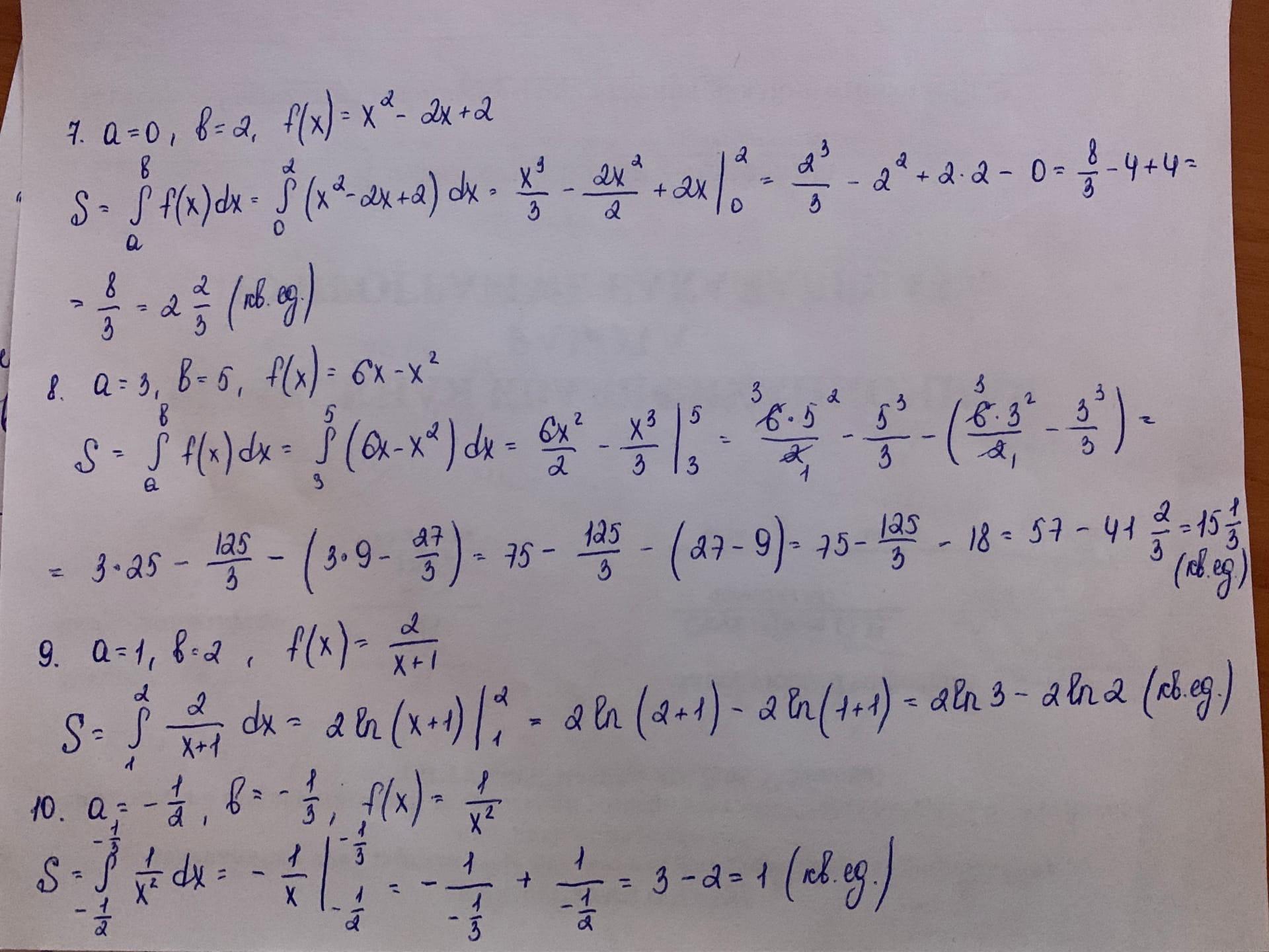
Решение на фото........
Приложения:

Вас заинтересует
2 года назад
2 года назад
3 года назад
3 года назад
8 лет назад
8 лет назад