• Предмет: Алгебра
  • Автор: aristoteltiuktiuk
  • Вопрос задан 8 лет назад

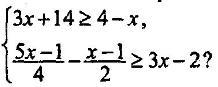
сколько целых решений имеет система уравнений?

Приложения:

Ответы

Ответ дал: bb573878
3

Ответ:

Объяснение:

\displaystyle\left \{ {{\Big{3x+14\geq 4-x} \atop\ }\\\atop\ {\dfrac{5x-1}{4}-\dfrac{x-1}{2}\geq 3x-2  }} \right. \ \ \ \\\\\\\ \left \{ {{3x+x\geq 4-14} \atop {5x-1-2(x-1)\geq 4(3x-2)}} \right. \\\\\\\left \{ {{4x\geq -10} \atop {5x-1-2x+2\geq 12x-8} \right.\\\\\\\left \{ {{x\geq -2.5} \atop {12x-5x+2x\leq 1+8}} \right.\\\\\\\left \{ {{x\geq -2.5} \atop {9x\leq 9}} \right. \\\\\\\left \{ {{x\geq -2.5} \atop {x\leq 1}} \right. \\\\\\x\in[-2.5;1]

целые решения : -2; -1; 0; 1

О т в е т: 4 целых решения


kamilmatematik100504: Согласитесь просто одно удовольствие писать таким шрифтом ; что даже не важно сколько баллов дается за ответ
Вас заинтересует