Вычислите интеграл пятая задача пожалуйста помогите сегодня нужно
Приложения:

bearcab:
АВ - не известно((
Ответы
Ответ дал:
1
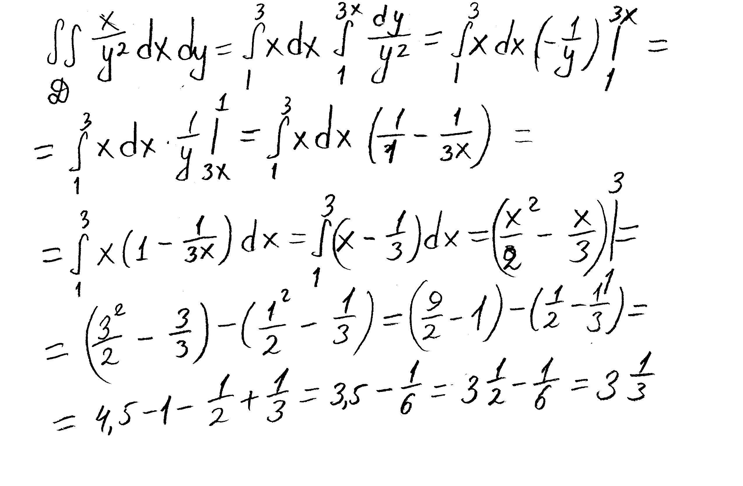
Ответ:
Пошаговое объяснение:
Решение в приложении
Приложения:

Вас заинтересует
2 года назад
3 года назад
3 года назад
8 лет назад
9 лет назад