• Предмет: Химия
  • Автор: ilpushkin2015
  • Вопрос задан 8 лет назад

Помогите решить, пожалуйста!!!

Приложения:

ilpushkin2015: Интересует задание 2. нужно их выполнить. А, Б, С

Ответы

Ответ дал: marktopskiy34567
0

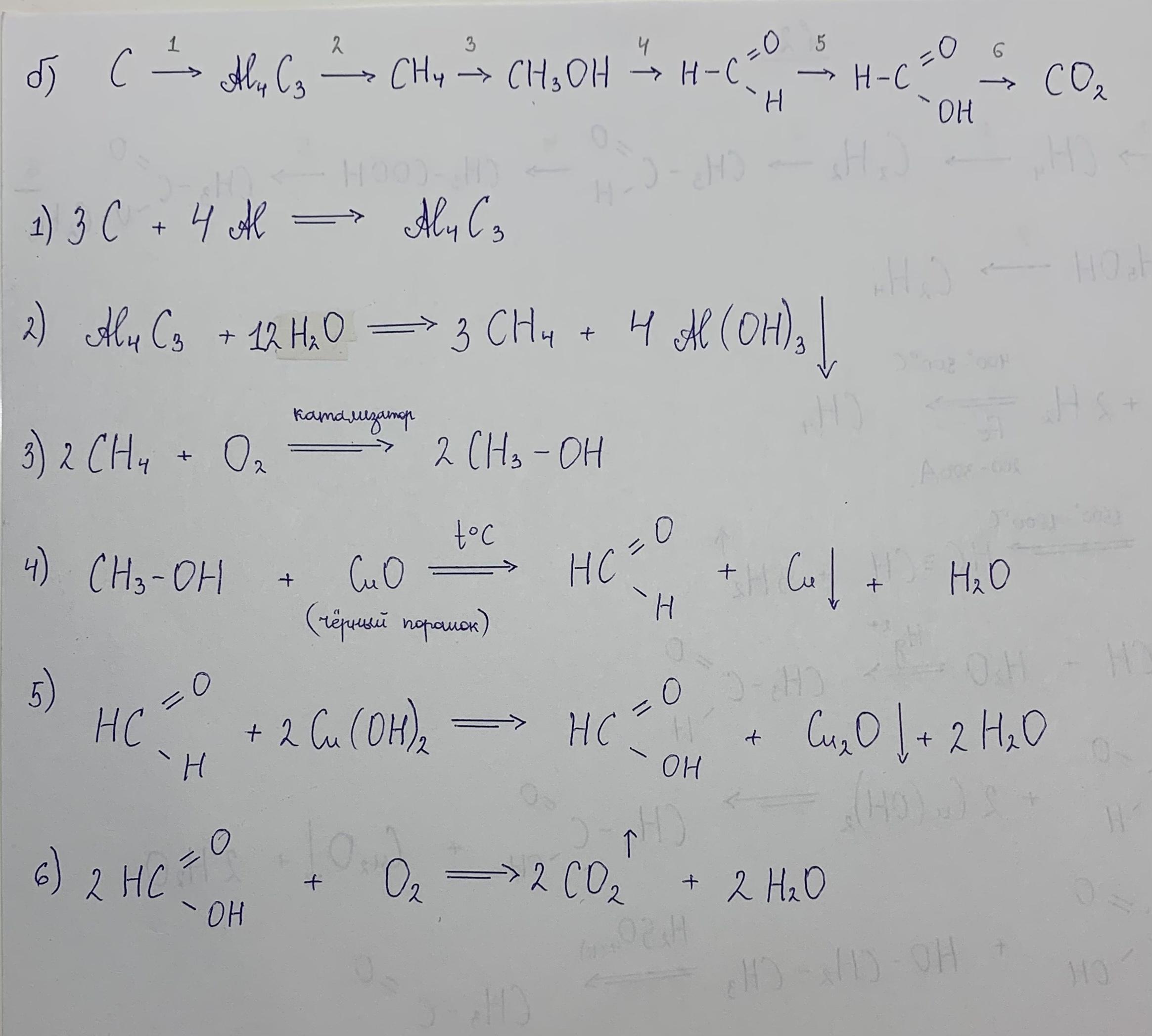
Держи решение внизу на листочках↓

Приложения:
Вас заинтересует