• Предмет: Геометрия
  • Автор: salievamohinur2005
  • Вопрос задан 8 лет назад

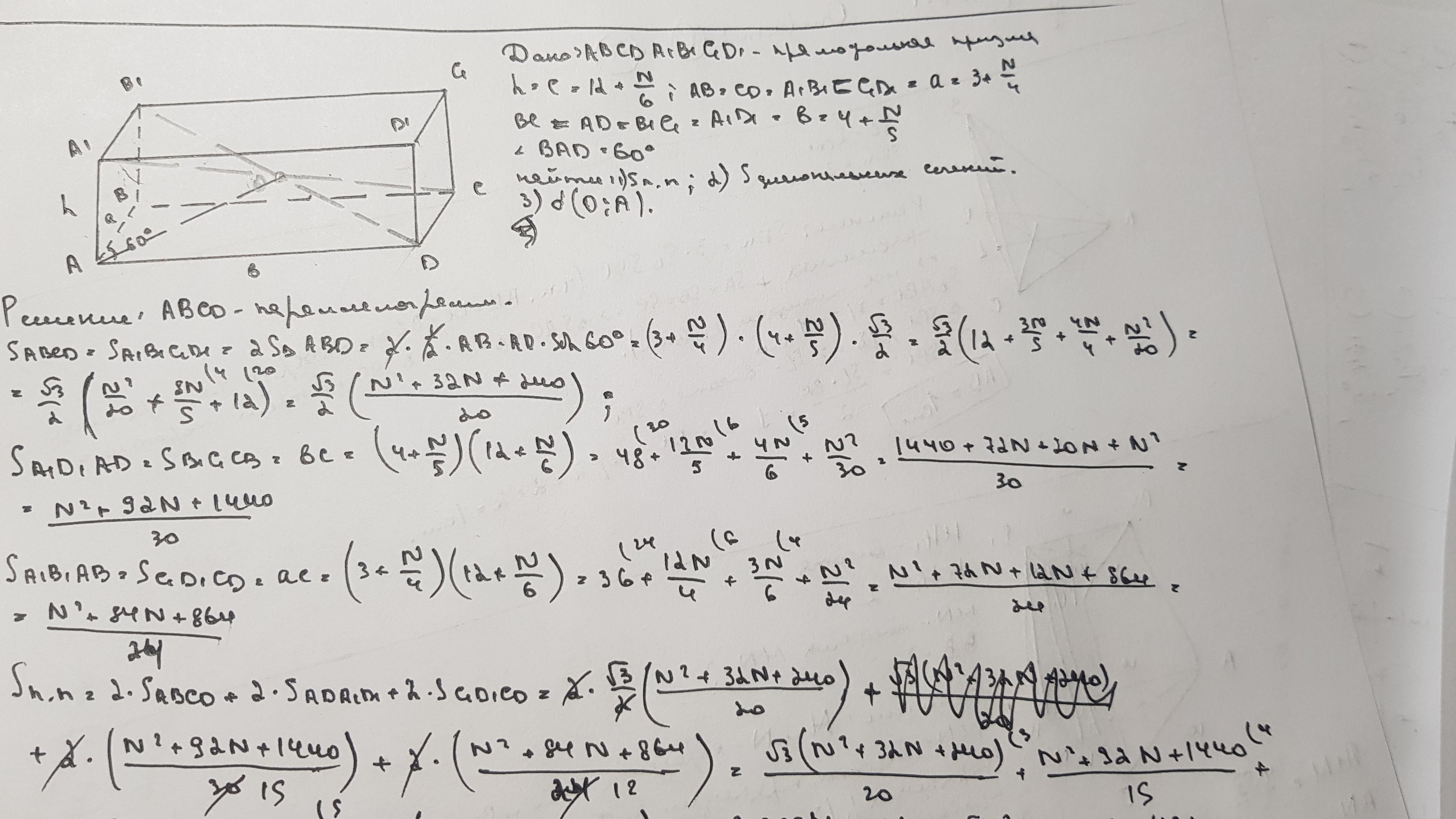
N=18.................40баллооов​

Приложения:

Ответы

Ответ дал: hrabrovgrisha
0

Ответ:

Объяснение:

Смотрите решение на фотографии

Приложения:
Вас заинтересует