• Предмет: Математика
  • Автор: Аноним
  • Вопрос задан 8 лет назад

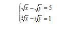
√x-√y=5

4√x-4√y=1

Решите систему иррациональных уравнений.

Приложения:

Ответы

Ответ дал: xacku2020
1

Ответ:

(81;4)

Пошаговое объяснение:

\sqrt[4]{x} =a  =>\sqrt{x} =a^{2} \\\sqrt[4]{y} =b  =>\sqrt{y} =b^{2} \\\\\left \{ {{a^{2} -b^{2} =5} \atop {a-b=1}} \right.  =>\left \{ {(a-b)(a+b)=5} \atop {a-b=1}} \right. => \left \{ {{a+b=5} \atop {a-b=1}} \right. =>2a=6 ,a=3,b=5-3=2

√x=9⇒ x=81

√y=2⇒  y=4


Аноним: привет можете помогать по другими вопросом тоже?
Аноним: в профиле
Вас заинтересует