• Предмет: Математика
  • Автор: Аноним
  • Вопрос задан 8 лет назад

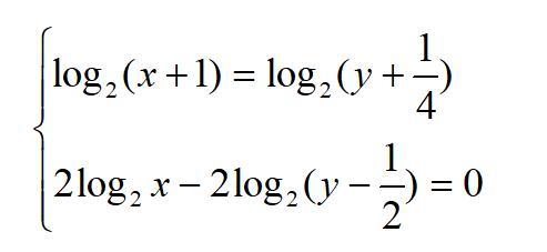
Срочно пожалуйста помогите решать очень нужно !!!!!

Приложения:

Ответы

Ответ дал: alyabushevartem
0

Ответ:

Пошаговое объяснение:

Приложения:
Вас заинтересует