• Предмет: Математика
  • Автор: sobakazabiyaka
  • Вопрос задан 8 лет назад

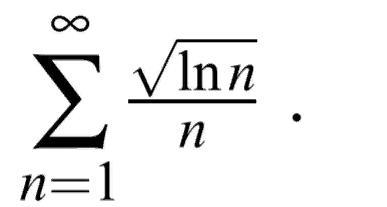
Исследовать сходимость ряда

Приложения:

Ответы

Ответ дал: Irremediable
0

Проверим ряд на необходимый признак сходимости:

\displaystyle \lim_{n \to \infty} a_n =0 \\\\ \lim_{n \to \infty} \frac{\sqrt{ln(n)}}{n} = \frac{\infty}{\infty}

Врятли преобразование приведёт к каким-то улучшениям, используем метод Лопиталя:

\displaystyle \lim_{n \to \infty} \frac{1}{2n\sqrt{ln(n)}} =\bigg[\frac{1}{\infty} \bigg]=0  - ряд может как сходиться, так и расходиться.

стоит отметить, что  \displaystyle\sum^\infty_{n=1}\frac{\sqrt{ln(n)} }{n}\geq  \sum^\infty_{n=1}\frac{1 }{n}

начиная с n = 3

\displaystyle e\approx2.72 , \quad \quad ln(3) \approx 1.04 , \quad\quad \frac{\sqrt{1.04}}{3} >\frac{1}{3}

по-этому, исходный ряд расходится, по предельному признаку сравнения.

Вас заинтересует