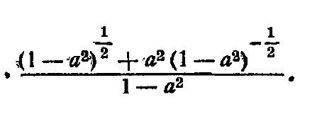
Помогите сократить выражение (Прикрепленное изображение)
Должно получиться следующее: 
Никак не могу понять как так получилось
Приложения:

Ответы
Ответ дал:
1
ОДЗ:
Сделаем замену . Тогда
:
Возвращаясь к исходной переменной, ответ:
Вас заинтересует
2 года назад
3 года назад
3 года назад
8 лет назад
8 лет назад
9 лет назад
9 лет назад