• Предмет: Математика
  • Автор: alyabushevartem
  • Вопрос задан 8 лет назад

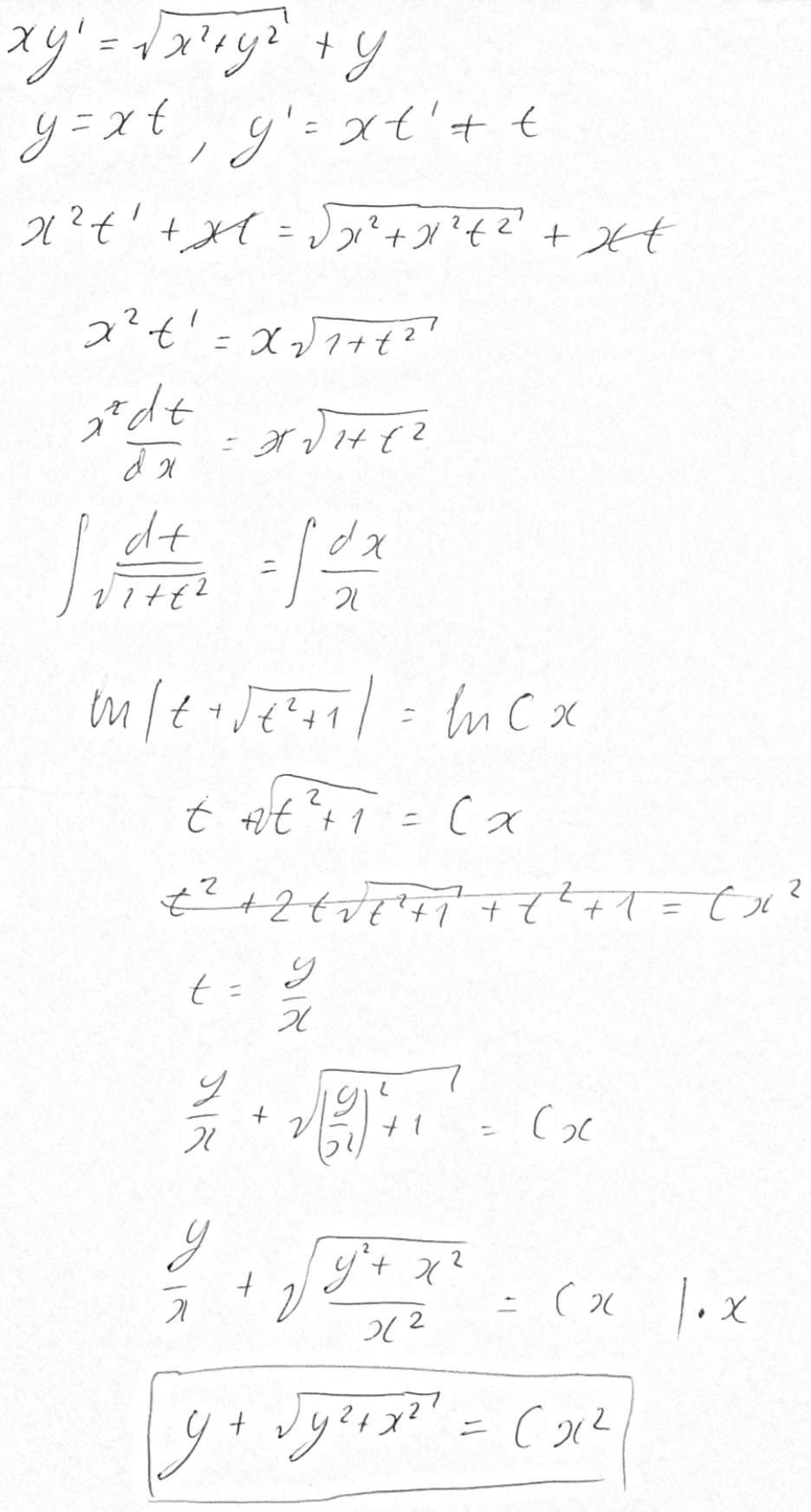
Показать, что данное дифференциальное уравнение является однородным. Найти общий интеграл данного уравнения.

Приложения:

Ответы

Ответ дал: gdoolll
0

Ответ: прикреплен в фотографии

Приложения:
Вас заинтересует