Ответы
Ответ дал:
1
Ответ:
Пошаговое объяснение:
Приложения:

tatsach:
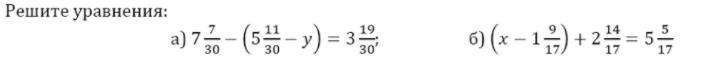
Списывайте своё условие а потом моё решение
Вас заинтересует
2 года назад
2 года назад
3 года назад
3 года назад
8 лет назад
8 лет назад
9 лет назад