• Предмет: Алгебра
  • Автор: pineled628
  • Вопрос задан 8 лет назад

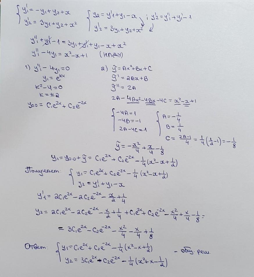
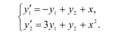
Найти общее решение системы дифференциальных уравнений

Приложения:

Ответы

Ответ дал: Miroslava227
0

Ответ:

решение на фотографии.

Приложения:
Вас заинтересует