• Предмет: Математика
  • Автор: yaroslavtruba4ka
  • Вопрос задан 8 лет назад

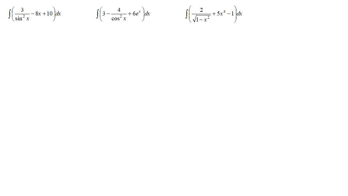
Пожалуйста найдите интегралы

Приложения:

Ответы

Ответ дал: NNNLLL54
0

Ответ:

1)\ \ \displaystyle \int \Big(\frac{3}{sin^2x}-8x+10\Big)\, dx=-3\, ctgx-4x^2+10x+C\\\\\\2)\ \ \int \Big(3-\frac{4}{cos^2x}+6e^{x}\Big)\, dx=3x-4\, tgx+6e^{x}+C\\\\\\3)\ \ \int \Big(\frac{2}{\sqrt{1-x^2}}+5x^4-1\Big)\, dx=2\, arcsin\, x+x^5-x+C

Вас заинтересует