Помогите люди добрые, срочно. Заранее благодаря, от души.
Приложения:
                     
                            
                    Аноним:
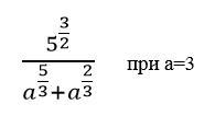
                    Поясните, пожалуйста, это 5 в степени (2/3) или 5 целых и 2/3.
                
            
                    
                    Описка: 3/2
                
            Ответы
                                            Ответ дал: 
                                                                                    
                                        
                                            
                                                
                                                
                                                
                                                    1
                                                
                                            
                                        
                                    Ответ:
29,25
Пошаговое объяснение:
1) 5/9 + 2/9 =7/9
2) 13/2 • 9/7 = 117/14= 29,25
                                            Ответ дал: 
                                                                                    
                                        
                                            
                                                
                                                
                                                
                                                    0
                                                
                                            
                                        
                                    
                                        5^(2/3) / (а^(5/3) + а^(2/3) =
= 5^(2/3) / (3^(5/3) + 3^(2/3) =
= 5^(2/3) / ((3^(2/3)•(3^(3/3) + 1)) =
= 5^(2/3) / (3^(2/3) • (1+1) =
= 5^(2/3) / ((2 • 3^(2/3))
= (5/3)^(2/3)/2 =
= (³√(25/9)) / 2 = примерно 0,7
                                    
                                        
                                                = 5^(2/3) / (3^(5/3) + 3^(2/3) =
= 5^(2/3) / ((3^(2/3)•(3^(3/3) + 1)) =
= 5^(2/3) / (3^(2/3) • (1+1) =
= 5^(2/3) / ((2 • 3^(2/3))
= (5/3)^(2/3)/2 =
= (³√(25/9)) / 2 = примерно 0,7
                    
                    Я тоже посчитала, что описка. 5^(2/3) в условии. Только 3^(3/3)=3.
                
            Вас заинтересует
                
                        2 года назад
                    
                
                        3 года назад
                    
                
                        3 года назад
                    
                
                        8 лет назад
                    
                
                        8 лет назад
                    
                
                        9 лет назад