• Предмет: Физика
  • Автор: khairullaminbashir22
  • Вопрос задан 8 лет назад

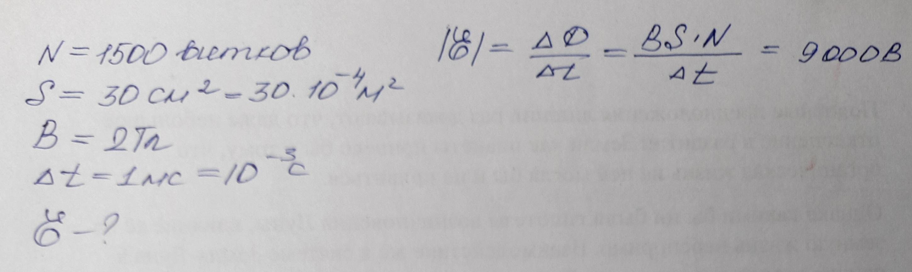
16.Определите среднюю величину ЭДС индукции, возникающую при выключении тока в электромагните, обмотка которого содержит 1500витков. Площадь поперечного сечения сердечника 30 см2, индукция поля магнита 2 Тл, время уменьшения тока до нуля равно 1 мс.
Ответ: ________________В.​

Приложения:

Ответы

Ответ дал: omalipp71
1

Ответ:

9000 В

Объяснение:

См.фото

Приложения:

khairullaminbashir22: спасибо большое за помощь и время
Вас заинтересует